Thursday Feb. 23, 2017

In this lecture we will look at how E field measurements at the ground can be used to determine the locations and amounts of charge involved in lightning discharges.  Then we'll look at some of what has been learned from these types of studies.


The data and results that we will be discussing come largely from experiments conducted at the Kennedy Space Center (KSC).  A large (15 km x 25 km) network of electric field mills is operating at KSC to identify and warn of thunderstorm and lightning hazards.  The pre-1995 configuration of the field mill network is shown in the figure below (source of this and the following three figures:  J.M. Livingston and E.P. Krider, "Electric Fields Produced by Florida Thunderstorms," J. Geophys. Res., 83, 385-401, 1978).  Most of the work and results we will be discussing was obtained using that network.  The network was upgraded in 1995.


The network that was operating up to 1995 had 0.1 second time resolution.  That is fast enough to resolve a lightning flash, but not the individual return strokes that make up cloud to ground flashes.  The dynamic range was -15 kV/m to +15 kV/m and E field signals were digitized with 30 V/m accuracy.  The overall accuracy of an individual field mill was about 10%.



Examples of fields recorded during 6 small storms.  Storms in this category lasted from 35 up to 85 minutes.  Individual storms produced 16 to 82 discharges.  The maximum flashing rate during a small storm is 1 flash/minute.


A single example of a large storm E field record is shown below



Storms like this are often broken into initial, very active, and end-of-storm-oscillation (EOSO) portions.  Note the very slow but large amplitude oscillations in the final EOSO portion.
 

Large storms in the Livingston and Krider study had durations ranging from 75 to 265 minutes, produced 515 to 1212 discharges, and maintained flashing rates of 5 to 10 flashes per minute for 50 to 90 minutes.  Number of flashes per 5 minute interval in a representative large storm are shown in the histogram below.


Number of flashes detected in a 5 minute interval


It turns out we really won't be analyzing electric fields measured at the ground, rather the field changes, ΔE.  The figure below explains why this is the case.



Fields measured at the ground usually have lower amplitudes than fields measured just a 100 or 200 meters above the ground.  Fields at the ground probably wouldn't exceed 10 kV/m;  fields just a few hundred meters above the ground could be several times larger.  The amplitudes of the field changes measured at the ground and aloft are the same.



As the field at the ground begins to build after a lightning discharge, corona discharge from pointed objects and vegetation "sprays" space charge into the air above the ground (recall Franklin's observation of the power of points to be able to throw electrical fire into the air).  This limits the amplitudes of fields seen at the ground and affects the shape of the field recovery between flashes.  Remember also the charged "screening layers" found at edges of clouds.  The positive charge in the air above the ground and the screening layers
mean we really can't get accurate measurements of the thunderstorm field at the ground.  You can, however, get an accurate measurement of the abrupt field changes produced by lightning because they occur so quickly that space charge can't be created or move around quickly enough to affect or mask the field change value.



Measured field change values as a function of distance (source: E.A. Jacobson and E.P. Krider, "Electrostatic Field Changes Produced by Florida Lightning," J. Atmos. Sci., 33, 103-117, 1976).  Note that small field change values are sometimes observed very close to a discharge.  We'll come back to this observation later in today's notes.


Now lets start to look at what can be done when field change measurements are made at multiple locations on the ground.


We'll consider the simplest model of a cloud-to-ground discharge and assume that the charge neutralized by the flash comes from a uniform sphere of charge in the cloud.  You can treat this as a single point charge (Point 1).  Our objective will be to use the delta E measurements to determine the location (x, y, and z coordinates) and magntitude of the neutralized charge (ΔQ). 

We show the location of one of the field mill sites in the figure.  At that location we will have a measurement of the field change,
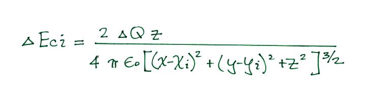
ΔEmi.  We can also calculate the field change that the charge neutralized at Point 1 would produce at Point 2, the location of the ith field mill site.  The expression for this calculated field change is shown below.



This equation should be familiar.  It's basically the field from a point charge above a conducting plane with Q replaced by ΔQ.  We're trying to determine ΔQ, x, y, and z.  How can we calculate ΔEci if we don't know what they are?  We make an initial guess about the location and the amount of charge neutralized during the lightning discharge.  And we have field change measurements and can calculate field changes at the other field mill sites.  We can adjust the values of x, y, z, and ΔQ until the chi-squared function below is minimized.  That will give us our best estimate of ΔQ and its location.


There are sophisticated numerical methods for minimizing non-linear least square problems like this.  The Marquardt algorithm was used in the Jacobson and Krider paper.  You'll find further explanation in Bevington and Robinson (2003).


Next we'll look at some results (source: the Jacobson and Krider, 1976 paper cited earlier)



This first histogram gives solutions for
ΔQ, the (negative) charge carried to ground in 70 cloud to ground discharges.
The next histogram shows
that this charge was largely found between 6 and 9 or 10 km altitude.



Note that this corresponds to a -10o to -30o or -35o C temperature range (the -10o to -30o C range is highlighted above).

Finally the figure below shows that 75% of cloud-to-ground discharges strike the ground at a distance, D, of 5 km (3 miles) or less from the center of the charge neutralized by the flash.  95% of the discharges strike the ground within 8 km (5 miles) of the charge center.  The distance D is defined in the figure below at right.  A circle with a radius of 5 miles is a pretty large area.  A thunderstorm positioned over the city of Tucson puts a large fraction of the residents at risk of being struck by lightning.











You would generally expect the field change amplitude to get larger as you get closer to a storm.  We pointed out earlier however that the field amplitude is sometimes surprisingly small when you are very close to a storm.  The field change may also switch polarity.


These observations suggest that a lower volume of positive charge might be involved in cloud-to-ground discharges.  This led to the development of a 2 charge model, illustrated below.




This is the most general form of the two charge model - the two charges can have different magnitudes and can have completely different locations in space.  A variation on this is the point dipole model where the two charges are of equal amplitude but opposite polarity.  Another model assumes the two charges are aligned vertically.  The calculated field change expression now contains 8 unknowns (ΔQ1, x1, y1, z1, ΔQ2, x2, y2, and z2).

Again you use pairs of measured and calculated fields and minimize a chi-squared function to determine the optimal solution for these charge and location variables.

Using a model that allows for two centers of charge to be neutralized means that field changes produced by intracloud discharges can be considered.  


In the left example above a negative polarity cloud-to-ground discharge involving both the main negative charge center and one of the smaller, lower positive charge centers.  We might expect ΔQ to be larger than Δq.   The figure at right shows an intracloud discharge taking place higher in the cloud.  In this case the amounts of positive and negative charge neutralized are probably more nearly equal. 

The next two figures shows some of the results obtained with this arbitrary 2 charge model (source: M.J. Murphy, The Electrification of Florida Thunderstorms, PhD Dissertation, Univ. of Az., 1996)



The circles indicate charge neutralized during lightning discharges, time and altitude are plotted along the horizontal and vertical axes, respectively.  Cross hatched circles are positive charge, open circles are negative charge.  The radius of the circle is proportional to the amount of charge neutralized.

Both intracloud and cloud to ground discharges were occurring during this storm.  An example of each is shown.  Intracloud discharges involve positive charge in the main positive charge center located in the upper portion of the thundercloud and negative charge in the main negative charge center in the middle of the cloud.  Cloud-to-ground discharges neutralize  negative charge in the middle of the cloud and almost always involve some positive charge in one of the lower positive charge centers.  The vertical dotted lines at the bottom edge of the figure indicate cloud-to-ground discharges detected and located by the National Lightning Detection Network (a network of sensors completely different and separate from the field mills).

The next figure is from a little more active thunderstorm cell.



There seems to be a tendency for the amounts of charge neutralized in discharges to increase with time (larger diameter circles toward the end of the storm).  The altitudes of the positive charges neutralized in intracloud discharges seem to move to higher altitudes in the middle and later portions of the storms. 


The chi-squared procedure for determining charge center locations and charge magnitudes using multi-station field change measurements has also be used with slow E field antenna systems.  Slow E records have faster time resolution and can accurately record the field changes produced by the separate return strokes in a cloud to ground flash.  The results we looked at above were derived from field mill records and were an integration of all the processes that occur during a flash.

A photograph of one of the slow E field antennas is shown below at left.  A schematic diagram of the antenna electronics is shown at right.  The slow E network that we will be discussing was built and operated by researchers from the New Mexico Institute of Mining and Technology (P.R. Krehbiel, M. Brook, and R.A. McCrory, "An Analysis of the Charge Structure of Lightning Discharges to Ground," J. Geophys. Res., 84, 2432-2456, 1979).



The antenna sensor plate is mounted about 1 m above the ground and is surrounded by a culvert (probably to keep cattle and wildlife away from the antenna.  The decay time constant of the integrating electronics was 10 seconds.  It is worth pointing out that, because the antenna plate is not mounted flush with the ground, its effective area will be greater than its geometric area. 



The effective crossectional area of a sensor plate positioned above the ground is greater than its geometrical crossection.  Some of the E field lines that wouldn't strike a plate mounted flush with the ground curl around and strike the sides or bottom of a plate positioned above the ground.  The effective area would need to be determined by calibration.

The antenna network was installed near Socorro, New Mexico.


An example of a CG flash slow E field record  is shown in the figure below.  Six return strokes have been identified.



A stepped leader field change can be clearly see on several of the records and has been highlighted in yellow.  The slow field change that follows the last return stroke is caused by a continuing current and has been highlighted in pink.

The figure below shows locations of the charges neutralized by the separate return stroke in 4 cloud-to-ground flashes.  Flash 9 has been highlighted because those are the charge locations determined using the slow E field data shown above.  Charge tapped by the continuing current that followed the 6th return stroke in Flash 9 has been highlighted in pink.