So instead
of a single point of intersection we
actually have an arc, shown in red
above. To locate the RF emissions
source in space a second baseline of
stations is needed.
An example of RF data from the 5
receivers is shown below (from Proctor,
1983). The records are
approximately 60 microseconds long.
Waveform digitizers were not fast
enough at that time to be able to record
data like this. So the RF signals
from the 5 stations were initially
recorded on a cathode ray tube and
photographed (a specially designed "laser
optical recorder" was later used to record
the data directly onto film). In
the example above, the data recorded on
film have been digitized and displayed on
a computer for analysis.
In order to locate an emission source in
space you must first identify the
correlated RF impulses on the 5
records. The records can be complex
with signals from multiple sources
arriving at the different receivers in
different order. This
analysis was originally done by hand and
could be quite tedious (the following
quotes are from Proctor
1981, I added the underlines)
"After
about 2 years experience a good
data reader can unscramble the pulses
emitted by no less than 4 simultaneous
flashes, or widely spaced branches of
the same flash with a considerable
degree of confidence."
"Even those who enjoy reading reading
records that can be deciphered easily
found that reading the more complicated
variety was a mild from of torture, and
that it took about one man-month's
effort to locate 100 sources correctly."
On average it was possible to locate the
source of one pulse in every 70
microseconds of record.
We'll look at just one example of many
interesting results obtained with the
South African VHF TOA network. Proctor
(1991) determined where lightning
discharges began by finding the centroid
of the first 6 to 10 VHF pulse locations
emitted in a flash. The left figure
below shows origin heights (above ground
level) for 773 cloud-to-ground and
intracloud flashes in 13
thunderstorms. Origin heights for
214 cloud-to-ground flashes are shown in
the figure at right. The
network was 1.43 km above sea level.
For the lower altitude peak in the left
figure, median heights for individual
storms ranged from 4.4 km to 5.7 km above
mean sea level (amsl) which corresponded
to temperatures ranging from +1o C to
-8.5o
C. Median heights for the 2nd higher
altitude peak ranged from 7.5 km to 9.7 km
amsl where temperatures ranged from -21.1o C to
-33o
C.
We can refer back to a figure in our Feb. 21
lecture (reproduced below) showing
the locations of charge centers involved
in cloud-to-ground and intracloud
discharges (the charge center locations
where derived from E field change
measurements made at multiple sites using
the field mill network at the Kennedy
Space Center).
We can see that the higher altitude
peak on the origin height historgram
corresponds roughly with the high E field
region between the main positive charge
center and the main negative charge
centers. The lower altitude peak is
positioned roughly in another high field
region between the main negative charge
center and one of the lower positive
charge centers.
Next we'll briefly discuss another long
baseline VHF TOA network, the Lightning
Detection and Ranging (LDAR) system, that
has been operating at the NASA Kennedy
Space Center since the mid 1970s.
The network has undergone several changes
and upgrades since it was first
installed. The figure below shows
the layout of the system that was being
used in the 1990s. It consisted of a
central station and 6 surrounding stations
positioned on roughly a 20 km diameter
circle.
The VHF receivers operate at 66 MHz (6
MHz bandwidth) and data from the remote
stations are telemetered back to the
center station by microwave link where
they are digitized. A signal
crossing threshold at the center receiver
triggers a roughly 100 μs; long recording
at each of the 7 stations.
Correlated pulses on the separate records
and differences in the times of arrival
are found using pattern recognition and
cross correlation techniques TOA data from
the center station and 3 of the outer
stations (stations 0, 1,3, and 5 for
example) are used to determine an RF
source location. A second location
is determined using the center data and
the other 3 remote locations (stations 0,
2, 4 and 6). If the two locations
agree the location is accepted.
Here is an example of RF data from the
LDAR network (from Rustan
et al., 1980). Just
over 100 μs of data
from the center station and 3 of the outer
stations are shown. Four impulses
have been marked on the top trace.
See if you can find the corresponding
impulses on the 3 remaining records.
Click here
to see the correct associations.
Here is an example of VHF source
locations provided by the LDAR network
(from Rustan
et al., 1980).
The figure shows the beginning of a
3-stroke CG flash that struck a 150 m tall
weather tower at the Kennedy Space
Center. This event occurred during
the first year of the Thunderstorm
Research International Program and was
observed by a variety of types of
instruments (see Uman
et al., 1978 for more details).
VHF noise began 4.9 ms before the 1st
return stroke. The first
2.2 ms was considered preliminary
breakdown actitivity and was followed by
the stepped leader which lasted 2.7 ms.
The left figure above shows 422 noise
sources located during the first 4.7 ms of
the flash. The right
figure plots locations at 94 μs
intervals during the preliminary breakdown
(between Pts. A & B which are
highlighted in yellow) and the stepped
leader (below Pt. B). Q1 is the
charge transported to ground during the
first return stroke in this flash
(determined from field change records
using the methods discussed in Lecture
12). Four additional plots like this
tracing out activity during the remainder
of the discharge can be found in Rustan
et. al (1980).
We'll next consider the most recent and
most advanced VHF TOA system, the
Lightning Mapping Array (LMA) developed by
researchers at the New Mexico Institute of
Mining and Technology (New Mexico Tech).
The system was originally used in
Oklahoma in June 1998 (a map of sensor
locations can be found here
and results from the Oklahoma field
experiment can be found here
or here)
and then in New Mexico in August and
September. The New Mexico network,
as described by Rison
et. al (1999), consisted of 10
stations that were deployed over an area
about 60 km in diameter near Langmuir
Laboratory. Quoting from the Rison
et. al article: "The time and magnitude of
the peak radiation is recorded during
every 100 μs time
interval that the RF power exceeds a noise
threshold." The time of the peak
signal is recorded with 50 ns
resolution. TOA information from
events strong enough to be detected at six
or more stations are located in space and
time.
It is a little difficult to keep up
with the rapid development and results
coming from the LMA. As best I can
tell (source)
permanent and operational LMAs can be
found at the NASA
Marshall
Space
Flight
Center in Alabama (see also this
article), the National
Weather Service in Washington DC,
The National
Severe Storms Lab in Norman OK,
White Sands Missle Range in New Mexico,
Dugway Proving Grounds in Utah, in
Catalonia Spain, and Texas
Tech University in Lubbock.
Displays of real time data are available
online at many of these sites.
Some photographs of an early version of
the system being demonstrated in the
Washington DC area are shown below (source
of these images)
VHF antenna and open electronics enclosure
showing the electronics (a more detailed
photograph of the electronics can be found
here)
VHF antenna installation at the Sterling
VA location.
Electronics enclosure.
Here are some animations of lightning
activity located with the Oklahoma
LMA. The links and explanation of
the format of the data display below have
been copied from http://lightning.nmt.edu/nmt_lms/ok98.html.
|
Here are some MPG movies from
the analyses of two lightning
discharges in Oklahoma. The
plots have five windows in them:
The
top t vs. z
plot shows all the points
located in the given time
interval. The time is given in
seconds, and the altitude z
of the radiation source is given
in kilometers. The number of
points can be limited if
desired. For example, two
distinct discharges at different
locations could occur at the
same time, so the operator may
choose to look at only one of
the dishcarges in detail. Or the
operator may narrow in on a
particular event in time which
he does not want obsured by
other data points. The lower
four plots show data points from
the top plot which have been
selected for such reasons. The
lower t vs. z plot
shows the time development of
the altitude of the selected
points. The x vs. y
plot shows a plan view of the
lightning discharge, where x
is the distance east or west of
the center of the array, and y
is the distance north or south
of the center. All distances are
given in kilometers. The small
squares in the x vs. y
plot show the locations of the
LMA stations. The x vs. z
and y vs. z plots show
the projections of the points on
the xz and yz
planes.
Cloud-to-ground
discharge followed by intercloud
discharge. Note the well-defined
leaders in the CG. The triangles
are locations and times of CG
strokes as determined by the
National Lightning Detection
Network. Note that, in the CG,
positive streamers propagate in
the negative charge region,
radially away from the area of
initial breakdown. The
subsequent IC develops over the
top of of the CG.
11
June 1998 06:19:39 UTC (1.5 MB
Animated GIF)
Discharge
near the end of a storm which
appears to be inverted. There
are two distinct charge layers,
but streamers appear to
originate in the upper layer and
propogate to the lower layer.
This is inverted from most
intercloud discharges in which
negative streamers originate in
the lower negative charge layer
and propogate into the upper
positive charge layer. Also note
how the lower charge region
decreases in altitude to the
east.
20
June 1998 03:43:45 UTC (1.8 MB
Animated GIF)
|
Here's
another link to some Oklahoma research
results:
Lightning
locations
in a tornadic thunderstorm
Finally, be sure to look at this very
cool animation of a
lightning flash over New Mexico near
Langmuir Lab that is on YouTube.
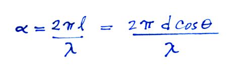
Interferometry is a different way of
locating a source of VHF radiation emitted
by lightning. The basic principle is
shown below.
A plane wave of radiation is
approaching from the right in the same
direction as a line connecting two
antennas on the ground. The antennas
are a distance d apart. Radiation
will arrive at Antenna 2 first. The
radiation arriving at Antenna 1 travels an
additional distance, l, before reaching
the antenna. The interferometer
measures the phase difference, α,
in the signals arriving at the two
antennas.
The elevation angle of the arriving
signal can then be determined from the
measured phase angle,
In
order to have a unique solution for
the elevation angle, the phase angle
can't vary by more than 2π as
elevation angle ranges from 0o
to 180o
This puts an upper
limit on the distance separating the two
antennas
In the case where d = λ /2,
the phase angle would be π for
a signal approaching from the right at θ
= 0o (the signal
arrives at Antenna 2 before Antenna 1) and
phase angle would be -π
for a signal arriving from the left at θ
= 180o
(the signal arrives at Antenna 1 first).
I'm not sure whether a phase
detector can distinguish between a phase
angle of π
and -π or
whether it would just measure π
in both cases.
The figure below is a polar plot of
the absolute value of the phase angle
versus the elevation angle of the
incoming signal (for d
= λ /2).
The circular rings are phase angle
varying from 0 at the center of the plot
to π at
the outer edge of the plot.
There
won't
be
any phase angle difference for signals
arriving from overhead (elevation angle, θ
= 90o )
because identical features on the signal
would reach both antennas at the same
time. This plot leaves the
impression that there are two solutions
for a single value of the phase
angle. For example, the
phase angle is π/2 at
Points A and B. At Point A the
signal is arriving at an elevation angle
of 60o from the
right. This is shown below.
Point B is a signal arriving at the same
elevation angle but from the left. If
the phase detector is able to distinguish
between phase angles of +π and -π
it would be able to determine whether
the radiation was coming from the right or
left.
To illustrate the problem of multiple
elevation angles for a given value of
phase angle we draw a figure for a larger
antenna
separation, d = 2 λ.
Points A, B, C, and D have phase angles
of 4π. 2π. -2π and
-4π. These
multiple solutions are often referred to
as fringes. At best, the
phase detector wouldn't be able to
distinguish between 2π and 4π
(assuming it would be able to distinguish
between positive and negative phase
angles) so a measurement of phase angle
will lead to at least 2 ambiguous
solutions for the elevation angle.
There would be 4 possible elevation angles
for a given phase angle measurement if the
phase detector is unable to distinguish
positive from negative values. The
four labelled points above are shown on a
polar plot below.

Clearly it would
seem like two closely spaced antennas
would be best. However, and we
won't go into the details, the error
in the elevation angle determination
is proportional to 1/d. So,
while there won't be any ambiguities
in the elevation angle determination
when two antennas are closely spaced,
the error could be large. Two
more widely spaced antennas would
result in less error but there would
be multiple elevation angles possible
for a given measured phase angle
difference. What is generally
done is to add a 3rd antenna to the
baseline as shown below.
A distant antenna to reduce elevation
angle error and two close antennas to
resolve elevation angle ambiguities.
Up to this point we've been assuming that
the direction of the incoming radiation is
parallel to the baseline connecting the
antennas (i.e. zero azimuth angle).
There is no reason for that to be the
case. As the azimuth angle moves
from zero, the measured phase difference
will begin to decrease. The phase
angle difference will become zero for a
signal approaching from a direction that
is perpendicular to the baseline
connecting the antennas. So to be
able to determine the true direction angle
to the emission source we're going to need
a 2nd perpendicular baseline.
Antenna 1 above can be part of both
baselines. So we'll end up with
something like shown below.
An antenna array essentially identical
to this was used by Rhodes
et. al (1994). Separation
distance between the two inner pairs of
antennas was λ/2. 4λ
separation was used between the outer
pairs of antennas.
Richard
et. al (1986) used 6 antennas
arranged in a triangular pattern as shown
above. Spacing between the inner
antennas was either λ/2
or λ.
Spacing
between antennas in the outer triangle was
10λ (more than 250 ambiguous
elevation angle values).
Now, as the next figure below
suggests (adapted from Hayenga
and Warwick, 1981), with two
baselines you have sufficient data to
determine the direction (azimuth and
elevation angles) to the source of RF
radiation. We
didn't look at all these details in
class.
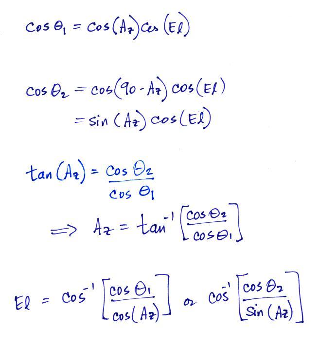
θ1
and θ2 are
the elevation angles determined using the
antennae on the east-west and north-south
baselines. θ1, the
azimuth angle, and the elevation angle
form a right spherical triangle. So
do θ2, 90o-
azimuth angle, and the elevation
angle. The elevation and azimuth
angles can be determined relatively easily
using a couple of spherical triangle
identities.
Note that a group of 5 or 6 antennas as
sketched above just gives you the
direction to the radiation source
(elevation and azimuth angles but not the
distance to the source). To actually
locate the source in space, a second group
(at least) of 5 antennas on perpendicular
baselines at a different location would be
needed.
And finally a brief comparison of
lightning source locations from a TOA
system (the LDAR network operating at the
Kennedy Space Center) and an
interferometer developed by the French
Office National D'Etudes et de Recherches
Aerospatiales (ONERA). The ONERA
system was operated near Orlando, about 60
miles from the Kennedy Space Center in
1992 and 1993. The results we will
be discussing are from Mazur
et.
al
(1997). This wasn't covered
in class.
We mentioned at the beginning of the
previous lecture that TOA systems are best
able to locate sequences of
narrow (pulse widths on the
order of microseconds),
isolated pulses that are emitted at
relatively low repetition rates (1 to 100
pulses per millisecond).
Interferometers are better able to locate
the sources of more quasi continuous
emissions such as are produced by dart
leaders and recoil streamers.
These are time-height plots of VHF
radiation sources for an entire storm
(adapted from Mazur
et.
al,
1997). And actually we're
looking at data from two different
storms. The LDAR data is from a
storm located over the Kennedy Space
Center (over the LDAR network, but far
from the ONERA network) that occurred on
Aug. 28, 1993. The ONERA data is
from an Aug. 14, 1992 that was close to
and in a favorable location for the ONERA
network but far from the LDAR
system. Shades of grey give an idea
of source density. The curve on the
left side of each figure shows source
density as a function of altitude.
Even though we're not looking at
observations of the same storm we can draw
some conclusions. The greatest
source density for the LDAR data falls
between about 6 km and 10 or 11 km which
is higher than the ONERA locations where
peak density is between the ground and
about 7 km. Radiation sources mapped
by the LDAR system remain in the cloud and
do not extend to the ground as happens
with the ONERA data.
Simultaneous observations of individual
discharges by both locating systems were
available for only one storm (the Aug. 28,
1993 storm). An example of an
intracloud and a cloud-to-ground discharge
are shown below.
Radiation sources are mapped almost
continuously during the discharge by the
LDAR system. Source locations also
appear in two distinct layers. This
is similar to what Proctor
(1991) found when locating the first
emissions sources that occur in a
discharge.
The sources mapped by the ONERA system
appear intermittently with quiet periods
in between. You might be bothered by
the fact that the ONERA system shows
locations extending down to ground level
during an intracloud discharge. This
storm was well outside the nominal range
of the ONERA system so the location
accuracy is poor. Both the high
source locations (near 20 km) and
locations near the ground are due to
location errors. The intracloud
discharge did not produce channels that
extended down to the ground.
The diamond in this figure indicates
the time at which a cloud-to-ground flash
was located by the National Lightning
Detection Network There were fewer
LDAR locations in this case.
Activity appeared on LDAR throughout the
discharge, though locations were mostly
confined to the lower of the two layers
seen in the intracloud discharge.
Just a few short burst of radiation were
located by the ONERA system. And
again, because of the large location
errors, we cannot be sure the locations
that occur just before 0.2 seconds really
did extend down to the ground.
Clearly there are differences in the
picture of lightning flashes presented by
TOA systems and interferometers. Mazur
et. al (1997) suggests this is
"because most of the radiation sources
mapped with LDAR are associated with
virgin breakdown processes typical of
slowly moving negative leaders. On
the other hand, most of the radiation
sources maped with ONERA-3D are produced
by fast intermittent negative breakdown
processes typical of dart leader and K
charnges as they traverse the previously
ionized channels. Thus each
operational system may emphasize different
stages of the lightning flash, but neither
appears to map the entire flash."
Full
citations for references mentioned in
this lecture.
C.O.
Hayenga
and
J.W.
Warwick,
"Two-Dimensional
Interferometric
Positions of VHF Lightning Sources," J.
Geophys. Res., 86, 7451-7462, 1981.
Mazur,
V.,
E.
Williams, R. Boldi, L. Maier, D.E.
Proctor, "Initial comparison of
lightning mapping with operational
Time-Of-Arrival and Interferometric
systems," J. Geophys. Res., 102,
11071-11085, 1997.
Proctor,
D.E., "A Hyperbolic System for Obtaining
VHF Radio Pictures of Lightning," J.
Geophys. Res., 76, 1478-1489, 1971.
Proctor,
D.E., "VHF Radio Pictures of Cloud
Flashes," J. Geophys. Res., 86,
4041-4071, 1981.
Proctor,
D.E., "Lightning and Precipitation in a
Small Multicellular Thunderstorm," J.
Geophys. Res., 5421-5440, 1983.
Proctor,
D.E., R. Uytenbogaardt, B.M. Meredith,
"VHF Radio Pictures of Lightning Flashes
to Ground," J. Geophys. Res., 93,
12683-12727, 1988.
Proctor,
D.E., "Regions Where Lightning Flashes
Begin," J. Geophys. Res., 96, 5099-5112,
1991.
Rhodes,
C.T.,
X.M.
Shao,
P.R. Krehbiel, R.J. Thomas, and C.O.
Hayenga, "Observations of lightning
phenomena using radio interferometry,"
J. Geophys. Res., 13059-13082, 1994.
Richard,
P.,
A.
Delannoy,
G. Labaune, and P. Laroche, "Results of
Spatial and Temporal Characteristics of
the VHF-UHF Radiation of Lightning," J.
Geophys. Res., 91, 1248-1260, 1986.
Rison,
W.
R.J.
Thomas,
P.R.
Krehbiel,
T.
Hamlin,
and
J.
Harlin,
"A
GPS-based
Three
Dimensional Lightning Mapping System:
Initial Observations in Central New
Mexico," Geophys. Res. Lett., 26,
3573-3576, 1999.
Rustan,
P.L.,
M.A.
Uman,
D.G.
Childers,
and
W.H.
Beasley,
"Lightning
Source
Locations
From
VHF
Radiation
Data
for
a
Flash at Kennedy Space Center," J.
Geophys. Res., 85, 4893-4903, 1980.
Uman,
M.A.,
W.H.
Beasley,
J.A.
Tiller,
Y-T.
Lin,
E.P.
Krider,
C.D.
Weidman,
P.R.
Krehbiel,
M.
Brook,
A.A.
Few,
J.L. Bohannon, C.L. Lennon, H.A.
Poehler, W. Jafferis, J.R. Gulick, J.R.
Nicholson, "An Unusual Lightning Flash
at Kennedy Space Center," Science, 201,
9-16, 1978.