As we have seen, the concentrations of greenhouse gases in the atmosphere are increasing due to the activities of man. This increase in greenhouse gases is a "forcing" or perturbation to the Earth's energy budget and hence climate. Taken by itself, we would expect that an increase in greenhouse gases should act to warm the Earth's surface by strengthening the greenhouse effect. What will actually happen to the climate of Earth is uncertain since the climate system is so complex. But the climate response to the perturbation of higher concentrations of greenhouse gases is the question that we need to answer.
The tools we use to answer the question are computer models. Computer models are the only possible way to take into account the complex interactions and feedbacks that take place within the climate system. Some of the interacting components of the climate system include:
Before discussing climate prediction models, we will define feedbacks and go over some examples that should help you appreciate how feedbacks complicate the prediction of future climate. A feedback is a mechanism whereby a perturbation (or a push away from equilibrium) in one process causes a response in another process that can either intensify or diminish the initial perturbation. In positive feedback the initial perturbation is enhanced or grows and in negative feedback the initial perturbation is dimished or weakened.
For instance, if the amount of carbon dioxide in the atmosphere were double what is was prior to 1750, i.e., 560 ppm, with no feedbacks, we compute an increase in surface temperature of about 1°C (1.8°F). We have simple models which make this type of calculation. However, the simple models do not consider feedbacks. If some positive feedback mechanism occurs in the climate system, the surface temperature will increase by more than 1°C for the same additional carbon dioxide, for example, maybe 4°C. On the other hand, if some negative feedback mechanism occurs in the climate system, the surface temperature will increase by less than 1°C, maybe only 0.5°C. It is even possible for there to be no change or a decrease in temperature. Therefore, getting all the feedbacks correct is extemely important in being able to accurately predict future climate changes caused by increased greenhouse gases. This is extremely difficult given that we do not fully understand the complexities of the climate system, and considering that there are limitations on computer memory and speed.
Several examples of climate feedback processes will be presented in lecture
Numerical models of weather and climate are based on the fundamental mathematical equations which describe the physics and dynamics of the movements and processes taking place in the atmosphere, the ocean, the ice and the land.
![]() |
| Types of interactions used in a weather forecast Model |
These models are:
Therefore, these models need fast computers with large memory systems.
A 10-day weather prediction takes roughly 4 hours to complete.
First, the individual elements that make up the model must be specified along with measurable quantities that define the state of each element.
The state of each element, or block, in our model is specified for a given instant of time by a series of numbers that define its temperature, pressure, density, humidity, wind direction and speed, and so on.
We begin the operation of our model by specifying all these numbers for every block in the model. This is the initial condition of the model and defines the state of the model at the starting time.
|
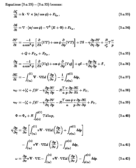
| Sample of the equations that control the behavior of the atmosphere |
Once these calculations are completed, we have a slightly changed model from the initial condition. Each block has updated values defining its temperature, pressure, density, humidity, wind direction and speed, and so on.
We can then repeat the process, calculating a new set of changes based on the new state of the model. What we end with is a numerical model that evolves with time, hopefully mirroring changes that take place in the actual atmosphere.
A schematic diagram of a General Circulation Model (CGM) is
shown below the sample equations. Note that
the grid cells can be of very different dimensions for different types
of models.
| State of the atmosphere at time t temperature, winds, etc. | equations that describe the behavior of the atmosphere
| State of the atmosphere at time t + dt temperature, winds, etc. | equations that describe the behavior of the atmosphere
| State of the atmosphere at time t + 2 * dt temperature, winds, etc. |
How can we trust a model of the atmosphere to predict the climate as much as 100 years into the future if we do not trust similar models to predict the weather 10 days in advance? (see Numercal Weather Forecast Page)
Climate models are used to study:
Climate forecast models make calculations at widely separated points: