Measuring the Solar Irradiance

Object of the Experiment
At the top of the earth's atmosphere, about 2 calories of sunlight energy will pass through a 1 cm x 1 cm area every minute.  This is called the solar constant.  In this experiment you will attempt to measure the solar irradiance or the amount of sunlight energy that arrives at the ground.  Basically you will point a flat piece of aluminum straight at the sun and measure how quickly it warms up.  The aluminum plate has been painted black to make it a good absorber of sunlight.  In addition to measuring the time rate of change of temperature you will need to know the mass, specific heat, and the crossectional area of the aluminum block.  

Conducting the Experiment
Become familiar with the apparatus before you take it outside and place it in the sunlight.  The aluminum block will start to warm up quickly once it's placed in the sunlight and you will need to be able to align it and begin taking time and temperature measurements quickly.

The picture below shows how the apparatus should be assembled.  Be careful when pushing the thermometer through the styrofoam  and into the edge of the aluminum block.  Don't force the thermometer, but be sure it slides into the block.  Be sure the thermometer is turned so that you can easily read the scale without getting in front of the apparatus and casting a shadow on the aluminum block.  The elevation can be adjusted by removing the wire support and placing the two ends in a different set of holes.  Practice removing and inserting the wire support and adjusting the elevation of the wooden stand.  Your measurements should be taken on a clear sunny day with calm or light winds.  Measurements should be made between late morning and early afternoon when the sun is relatively high in the sky.



When you are ready to begin the experiment move the apparatus to a shady location outdoors and let it sit there for a few minutes to allow the aluminum block to come to the same temperature as the outside air.  You can remove the thermometer and use it to make a measurement of the outside air temperature.  You might even take the aluminum block out of the styrofoam and place it on the ground so that it equilibrates more quickly.  In addition to the outside air temperature you should measure and record the crossectional area of the block (the area of the surface pointed at the sun).  Make a note of the weather conditions. 

Move the apparatus out into the sun.  Quickly turn the wooden stand and adjust the elevation angle until the wooden dowel casts very little shadow (remove the wire while adjusting the elevation, reinsert it in appropriate holes when you are close to the necessary elevation angle).  The elevation angle adjustment is somewhat coarse and you will probably not be able to obtain perfect alignment.  Do the best you can. 

Try to align the apparatus in less than 1 minute so that you can make your first temperature measurement 1 minute after beginning the experiment.  Continue making temperature measurements every minute for a few minutes so that you can get an idea how quickly the block is warming up.  You might be able to decrease the interval to 2 or 3 minutes if the block is warming slowly.  You should continue making measurements until you see a clear indication in your data that the rate of warming is beginning to decrease.  You will probably need to make measurements for a total of 20 to 30 minutes.  Periodically check the alignment of the apparatus during this time and make any adjustments as they are needed.

Data Analysis
Solar irradiance, S, has units of energy per unit area per unit time.  In our experiment

If we assume that all of the sunlight striking the black plate is absorbed, then a plate with area A that is left in the sunlight for a time delta t will collect

An aluminum plate with large area will collect more energy than a plate with small area.  The longer you leave the plate in the sun the more energy it will collect.

Earlier in the course we came across the following relationship between energy absorbed and the resulting temperature change

If we substitute in the earlier equation for delta E we obtain

Now we will just solve this equation for S


There is the equation we will use.  If you know the mass of the aluminum plate, its crossectional area, the specific heat of aluminum, and measure how quickly the block warms with time, you can calculate the solar irradiance.

Example
Below are some actual data collected when the experiment was being tested   Your data, particularly the area and mass of the aluminum block, may differ significantly from the values below.  You should try to collect your data somewhat later than was done here.

These data are plotted below


The most rapid rise of temperature occurs during the first 10 minutes of the experiment.  This is the part of the graph we will use to determine the rate of rise of temperature.  This is shown on the next graph.

Early in the experiment (the green shaded portion of the curve) the change in temperature is being caused by absorbed sunlight.  Later (the red portion of the curve) the block is absorbing sunlight but also losing energy to the cooler surrounding air.  Eventually the block would warm enough that the loss of energy would balance the absorption of sunlight energy and the temperature plot would level off.

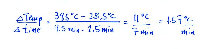
We will first use the two data points at opposite ends of the green line to calculate the rate of change of temperature with time.  We are just determining the slope of the line.

Now we just insert this value (together with the mass, specific heat, and area) into the earlier equation for solar irradiance

This is a very reasonable result because, on average, about 50% of the sunlight energy arriving at the top of the earth's atmosphere (2 cal/cm2 min) makes it to the ground.